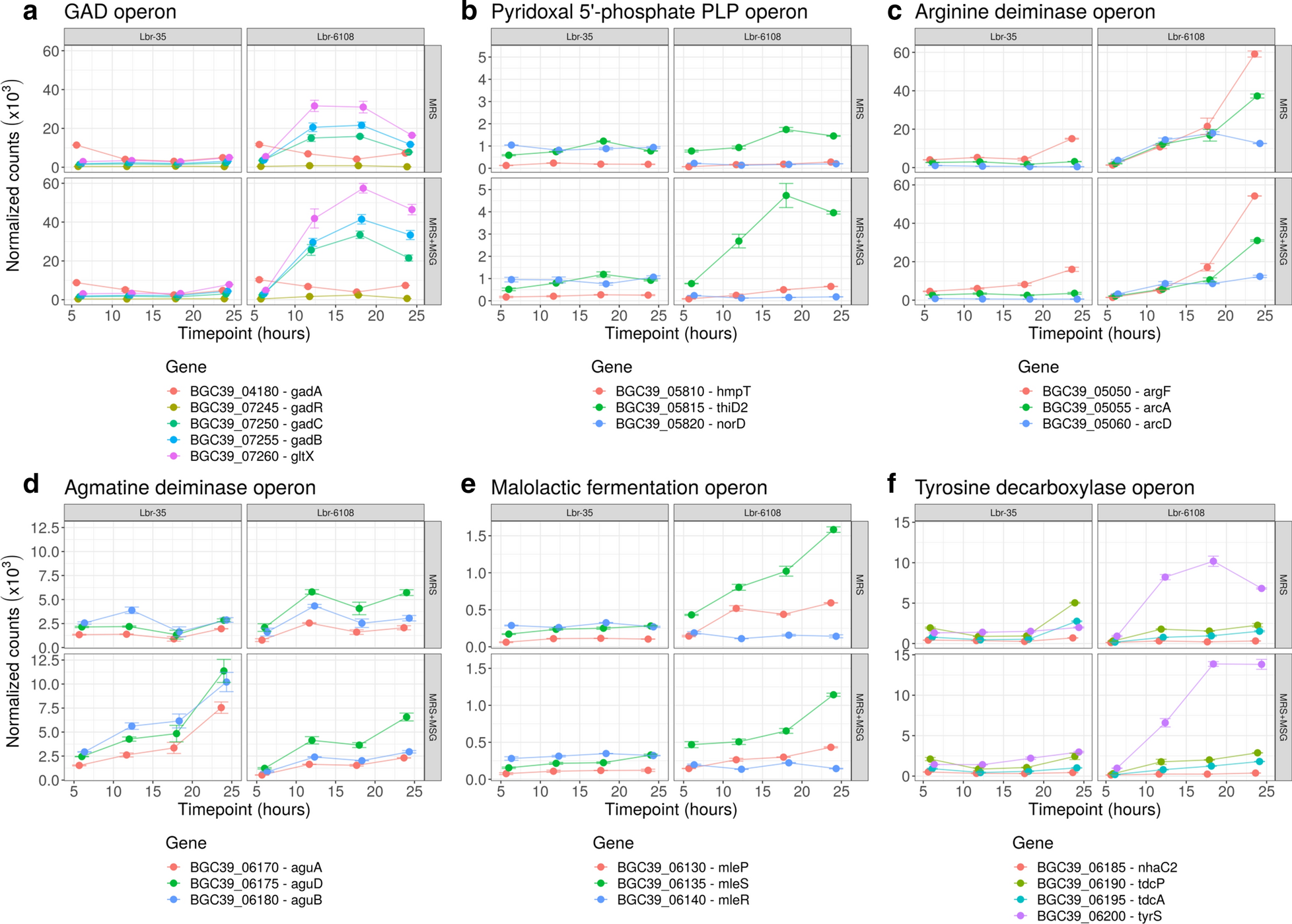
Fig. 4

Gene expression of acid resistance operons in Levilactobacillus brevis Lbr-6108 and Lbr-35. Each quadrant shows normalized RNA expression for genes during growth for Lbr-6108 and Lbr-35 in MRS and MRS with 10,000 μg/mL MSG. Gene symbols are defined in table S2 and as follows: A gadA, Glutamate decarboxylase (EC 4.1.1.15); gadR, Transcriptional regulator; gadC, Glutamate/gamma-aminobutyrate antiporter; gadB, Glutamate decarboxylase (EC 4.1.1.15); gltX, Glutamyl-tRNA synthetase (EC 6.1.1.17; EC 6.1.1.24). B hmpT, Substrate-specific component HmpT of predicted hydroxymethylpyrimidine ECF trans-porter; thiD2, Novel pyridoxal kinase, thiD family (EC 2.7.1.35); norD, Transcriptional regulator of pyridoxine metabolism / Pyri-doxamine phosphate aminotransferase (EC 2.6.1.54). C argF, Ornithine carbamoyltransferase (EC 2.1.3.3); arcA, Arginine deimi-nase (EC 3.5.3.6); arcD, Arginine/ornithine antiporter. D aguA, Agmatine deiminase (EC 3.5.3.12); aguD, Agmatine/putrescine antiporter, associated with agmatine catabolism; aguB, Putrescine carbamoyltransferase (EC 2.1.3.6). E mleP, Malate permease; mleS, Malolactic enzyme (EC 4.1.1.101); mleR, Malolactic regulator. F nhaC2, predicted tyrosine transporter, NhaC family; tdcP, Predicted tyrosine transporter, GadC family; tdcA, l-tyrosine decarboxylase (EC 4.1.1.25); tyrS, Tyrosyl-tRNA synthetase (EC 6.1.1.1)